
兵工学报 ›› 2025, Vol. 46 ›› Issue (10): 250583-.doi: 10.12382/bgxb.2025.0583
• • 上一篇
收稿日期:2025-07-01
上线日期:2025-11-05
通讯作者:
ZHANG Kefan*(
), ZHANG Zixuan, LI Weina, DUAN Angxuan
Received:2025-07-01
Online:2025-11-05
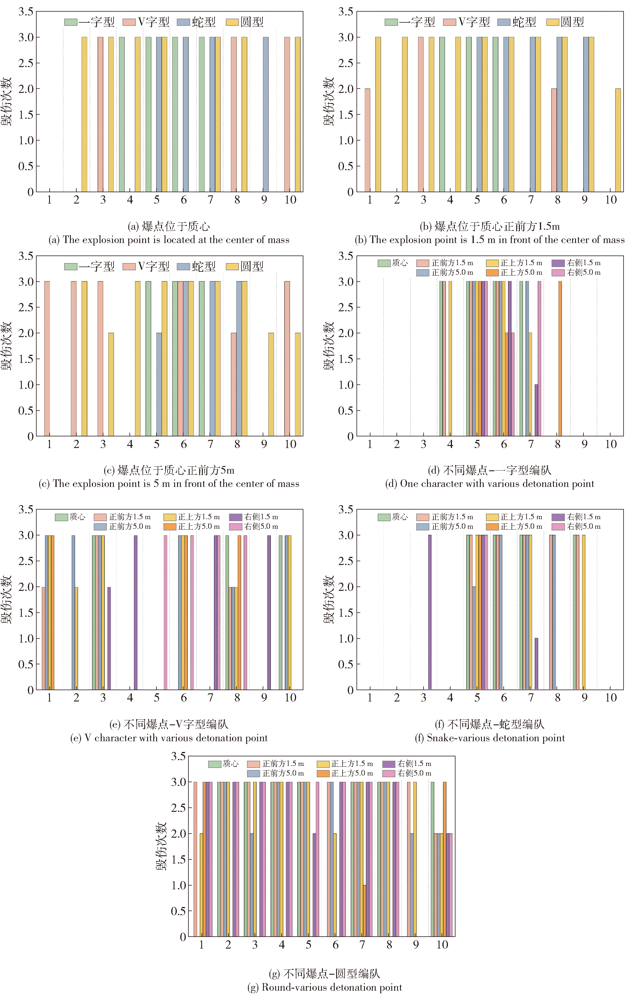
摘要: 针对无人机集群毁伤评估中存在的部件级毁伤机理不明确、编队构型影响机制不完善等问题,提出了一种融合高精度部件级毁伤建模与编队动态分析的弹药对无人机集群毁伤效能评估方法。通过构建四旋翼无人机“物理毁伤→部件失效→功能毁伤”的毁伤计算链路,分析无人机目标易损性构效关系,结合杀爆弹威力场模型,量化不同毁伤元对无人机功能毁伤的动态影响。进一步考虑一字型、V字型、蛇型及圆型4种典型无人机集群编队构型特征,结合损伤百分比准则与弹目交会条件开展多工况仿真试验。结果表明:破片战斗部打击单无人机目标时,有效命中破片数量与爆炸距离负相关,近距离爆炸时冲击波毁伤效果更优,且无人机下方爆点毁伤效能更高;无人机集群毁伤结果受爆点位置和编队队形影响,其中编队队形影响更显著,圆型编队毁伤效能最大,蛇形编队最小。研究成果为杀爆弹打击无人机集群的毁伤评估提供方法支撑和思路参考,为无人机集群战术选择提供一定理论依据。
张克钒, 张子瑄, 李维娜, 段昂轩. 杀爆战斗部打击无人机集群的毁伤评估方法[J]. 兵工学报, 2025, 46(10): 250583-.
ZHANG Kefan, ZHANG Zixuan, LI Weina, DUAN Angxuan. Research on Damage Effectiveness of Fragmentation-Explosive Warheads Against Drone Swarms[J]. Acta Armamentarii, 2025, 46(10): 250583-.
| 序号 | 目标位置 | 爆距/m | 爆点位置 |
|---|---|---|---|
| 1 | [0,0,0] | 1.5 | [0,1.5,0],[0,-1.5,0],[1.5,0,0],[-1.5,0,0],[0,0,-1.5],[0,0,1.5] |
| 2 | [0,0,0] | 5 | [0,5,0],[0,-5,0],[5,0,0],[-5,0,0],[0,0,-5],[0,0,5] |
| 3 | [0,0,0] | 10 | [0,10,0],[0,-10,0],[10,0,0],[-10,0,0],[0,0,-10],[0,0,10] |
| 4 | [0,0,0] | 15 | [0,15,0],[0,-15,0],[15,0,0],[-15,0,0],[0,0,-15],[0,0,15] |
| 5 | [0,0,0] | 20 | [0,20,0],[0,-20,0],[20,0,0],[-20,0,0],[0,0,-20],[0,0,20] |
表1 单无人机的仿真试验工况设计
Table 1 Simulation test condition design of single UAV
| 序号 | 目标位置 | 爆距/m | 爆点位置 |
|---|---|---|---|
| 1 | [0,0,0] | 1.5 | [0,1.5,0],[0,-1.5,0],[1.5,0,0],[-1.5,0,0],[0,0,-1.5],[0,0,1.5] |
| 2 | [0,0,0] | 5 | [0,5,0],[0,-5,0],[5,0,0],[-5,0,0],[0,0,-5],[0,0,5] |
| 3 | [0,0,0] | 10 | [0,10,0],[0,-10,0],[10,0,0],[-10,0,0],[0,0,-10],[0,0,10] |
| 4 | [0,0,0] | 15 | [0,15,0],[0,-15,0],[15,0,0],[-15,0,0],[0,0,-15],[0,0,15] |
| 5 | [0,0,0] | 20 | [0,20,0],[0,-20,0],[20,0,0],[-20,0,0],[0,0,-20],[0,0,20] |
| 装药密度/ (g·cm-3) | 炸药爆速/ (m·s-1) | 壳体 质量/kg | 壳体 厚度/mm | 壳体 内径/mm |
|---|---|---|---|---|
| 1.722 | 6700 | 13.75 | 12 | 81 |
表2 某型破片战斗部的结构参数
Table 2 Structural parameters of fragment warhead
| 装药密度/ (g·cm-3) | 炸药爆速/ (m·s-1) | 壳体 质量/kg | 壳体 厚度/mm | 壳体 内径/mm |
|---|---|---|---|---|
| 1.722 | 6700 | 13.75 | 12 | 81 |
| 爆距/m | FEM结果/个 | 工程算法结果/个 | 差值 |
|---|---|---|---|
| 1.5 | 18 | 16 | 2 |
| 5 | 13 | 12 | 1 |
| 10 | 2 | 2 | 0 |
| 15 | 1 | 1 | 0 |
| 20 | 1 | 1 | 0 |
表3 有限元计算和工程算法结果对比
Table 3 Comparison of finite element calculation and engineering algorithm results
| 爆距/m | FEM结果/个 | 工程算法结果/个 | 差值 |
|---|---|---|---|
| 1.5 | 18 | 16 | 2 |
| 5 | 13 | 12 | 1 |
| 10 | 2 | 2 | 0 |
| 15 | 1 | 1 | 0 |
| 20 | 1 | 1 | 0 |
| 爆距/m | 有限元计算时长/s | 工程算法计算时长/s |
|---|---|---|
| 1.5 | 600 | 0.2 |
| 5 | 1140 | 0.2 |
| 10 | 1920 | 0.3 |
| 15 | 2580 | 0.3 |
| 20 | 3060 | 0.3 |
表4 有限元计算和工程算法效率对比
Table 4 Comparison of efficiency between finite element calculation and engineering algorithm
| 爆距/m | 有限元计算时长/s | 工程算法计算时长/s |
|---|---|---|
| 1.5 | 600 | 0.2 |
| 5 | 1140 | 0.2 |
| 10 | 1920 | 0.3 |
| 15 | 2580 | 0.3 |
| 20 | 3060 | 0.3 |
| 编队队形 | 爆点方位 | 爆距/m | 爆点坐标 |
|---|---|---|---|
| 质心 | 0 | [0,0,0] | |
| 质心右侧 | 1.5 | [0,1.5,0] | |
| 质心上方 | 1.5 | [0,0,1.5] | |
| 一字型,Ⅴ字型,蛇型,圆型 | 质心前方 | 1.5 | [1.5,0,0] |
| 质心右侧 | 5 | [0,5,0] | |
| 质心上方 | 5 | [0,0,5] | |
| 质心前方 | 5 | [5,0,0] |
表5 无人机集群仿真试验工况设计
Table 5 Simulation test condition design of UAV swarm
| 编队队形 | 爆点方位 | 爆距/m | 爆点坐标 |
|---|---|---|---|
| 质心 | 0 | [0,0,0] | |
| 质心右侧 | 1.5 | [0,1.5,0] | |
| 质心上方 | 1.5 | [0,0,1.5] | |
| 一字型,Ⅴ字型,蛇型,圆型 | 质心前方 | 1.5 | [1.5,0,0] |
| 质心右侧 | 5 | [0,5,0] | |
| 质心上方 | 5 | [0,0,5] | |
| 质心前方 | 5 | [5,0,0] |
| [1] |
刘伟, 张琳, 王代强, 等. 激光武器反无人机集群作战运用及关键技术[J]. 航空学报, 2024, 45(12):329457.
|
|
|
|
| [2] |
王靖宇, 蒋平, 谢丁星, 等. 基于任务可靠性的无人集群作战试验方案设计[J]. 西北工业大学学报, 2025, 43(2):368-380.
|
|
|
|
| [3] |
潘子双, 苏析超, 韩维, 等. 基于动态一致性联盟算法的异构无人机集群协同作战联盟组建[J]. 兵工学报, 2024, 45(9):3177-3190.
|
|
|
|
| [4] |
|
| [5] |
陈俊, 张志安, 胡建巧. 小口径高炮防空反导射击拦截模型及其仿真分析[J]. 火力与指挥控制, 2013, 38(5):14-17.
|
|
|
|
| [6] |
卢芳云, 李翔宇, 林玉亮. 战斗部结构与原理[M]. 北京: 科学出版社, 2009.
|
|
|
|
| [7] |
|
| [8] |
|
| [9] |
侯鹏, 葛玉雪, 裴扬, 等. 基于毁伤评估结果的无人机对地攻击任务分配方法[J]. 兵工学报, 2025, 46(2):19-31.
|
|
|
|
| [10] |
|
| [11] |
薛少辉, 范继, 唐旭, 等. 基于椎体空间的无人机毁伤元密度分析[J]. 兵工学报, 2022, 43(S1):133-139.
|
|
|
|
| [12] |
尚昆. 反无人机蜂群的密集毁伤元战斗部设计与威力仿真研究[D]. 山西: 中北大学, 2024.
|
|
|
|
| [13] |
|
| [14] |
杨亮亮, 王永河, 狄长春, 等. 反无人机装备在中大口径火炮应用浅析[J]. 火炮发射与控制学报, 2025, 46(4):22-27.
|
|
|
|
| [15] |
杨勇, 王烨. 基于高斯改进模型的防空火箭弹对无人机毁伤概率评估研究[J]. 自动化技术与应用, 2017, 36(1):15-18, 53.
|
|
|
|
| [16] |
杨永亮, 丁天宝, 赵军朝, 等. 弹炮结合防空武器反无人机集群作战能力研究[J]. 火炮发射与控制学报, 2019, 40(4):47-50.
|
|
|
|
| [17] |
李彤. 定向破片战斗部对无人机群毁伤效能评估[D]. 沈阳: 沈阳理工大学, 2023.
|
|
|
|
| [18] |
卢芳云, 彭永, 张克钒, 等. 目标易损性分析——共性方法[M]. 湖南: 国防科技大学出版社, 2024.
|
|
|
|
| [19] |
|
| [20] |
T/AOPA 0056.1—2024 无人机编队飞行要求第1部分:总则[S]. 北京: 中国航空器拥有者及驾驶员协会, 2024.
|
|
T/AOPA 0056.1—2024. Requirements for UAV Formation Flight-Part 1: General Rules[S]. Beijing: Aircraft Owners and Pilots Association of China, 2024. (in Chinese)
|
|
| [21] |
卢芳云, 李翔宇, 田占东, 等. 武器毁伤与评估[M]. 北京: 科学出版社, 2021.
|
|
|
|
| [22] |
李向东. 目标毁伤理论及工程计算[M]. 北京: 北京理工大学出版社, 1997.
|
|
|
|
| [23] |
崔国龙, 姚文进, 郑宇. 爆炸冲击波对模拟电台靶标毁伤效应分析[J]. 兵器装备工程学报, 2022, 43(12):259-264.
|
|
|
|
| [24] |
曹烨. 目标易损性分析中的失效树与毁伤仿真结合研究[D]. 湖南: 国防科学技术大学, 2016.
|
|
|
| [1] | 周桢林, 龙腾, 刘大卫, 孙景亮, 钟建鑫, 李俊志. 基于强化学习冲突消解的大规模无人机集群航迹规划方法[J]. 兵工学报, 2025, 46(5): 241146-. |
| [2] | 曾照洋, 彭文胜, 李云凯, 徐明. 智能无人机集群可靠性技术内涵、发展及挑战[J]. 兵工学报, 2025, 46(3): 240322-. |
| [3] | 潘子双, 苏析超, 韩维, 柳文林, 郁大照, 汪节. 基于动态一致性联盟算法的异构无人机集群协同作战联盟组建[J]. 兵工学报, 2024, 45(9): 3177-3190. |
| [4] | 徐文旭, 李召, 陆凡东. 基于状态空间的反坦克导弹毁伤效能精准评估方法[J]. 兵工学报, 2024, 45(3): 810-817. |
| [5] | 娄文忠, 何博, 冯恒振, 李昕哲, 杨庭琪, 苏文亭, 吕斯宁, 张明荣, 余学瑞. 小口径定距空爆弹末端防空拦截实时模拟及开舱距离研究[J]. 兵工学报, 2024, 45(2): 584-593. |
| [6] | 娄抒瀚, 王冲冲, 龚炜, 邓立原, 李莉. 基于MLAT-DRL算法的协同区域信息采集策略[J]. 兵工学报, 2024, 45(12): 4423-4434. |
| [7] | 曹子建, 孙泽龙, 闫国闯, 傅妍芳, 杨博, 李秦洁, 雷凯麟, 高领航. 基于强化学习的无人机集群对抗策略推演仿真[J]. 兵工学报, 2023, 44(S2): 126-134. |
| [8] | 严钰文, 毕文豪, 张安, 张百川. 基于序列生成对抗网络的无人机集群任务分配方法[J]. 兵工学报, 2023, 44(9): 2672-2684. |
| [9] | 张琦, 葛玉雪, 李攀, 康淇钧, 裴扬. 基于ABMS的全光化无人机集群体系贡献率评估方法[J]. 兵工学报, 2023, 44(11): 3422-3435. |
| [10] | 毕文豪, 王炤晰, 吴伟, 张安. 基于公共品博弈的无人机集群自主协同机制[J]. 兵工学报, 2023, 44(11): 3407-3421. |
| [11] | 王歌, 张春, 林智伟, 王保华, 檀虎, 陈晨. 多束定向预制破片弹开舱距离研究[J]. 兵工学报, 2022, 43(S1): 115-120. |
| [12] | 洪晓文, 李伟兵, 李文彬, 徐赫阳, 李军宝. 多层复合装药爆炸冲击波信号能量谱[J]. 兵工学报, 2020, 41(11): 2243-2251. |
| [13] | 于涛, 郝永平, 郑斌, 李建伟, 李广林. 上升扫描式末敏子弹对坦克目标的毁伤效能评估[J]. 兵工学报, 2018, 39(10): 1927-1935. |
| 阅读次数 | ||||||
|
全文 |
|
|||||
|
摘要 |
|
|||||
京公网安备11010802024360号 京ICP备05059581号-4