
Acta Armamentarii ›› 2025, Vol. 46 ›› Issue (9): 241089-.doi: 10.12382/bgxb.2024.1089
Previous Articles Next Articles
WANG Chenxu1, ZHANG Jiahao1, CAI Yiqiang1, ZHOU Sheng1, GONG Jie2, CHEN Pengwan3, YU Qingbo1,*(
)
Received:2025-06-19
Online:2025-09-24
Contact:
YU Qingbo
CLC Number:
WANG Chenxu, ZHANG Jiahao, CAI Yiqiang, ZHOU Sheng, GONG Jie, CHEN Pengwan, YU Qingbo. Explosion Driving Characteristics of Shell Fragments Driven by Cylindrical Charge with Cavity[J]. Acta Armamentarii, 2025, 46(9): 241089-.
Add to citation manager EndNote|Ris|BibTeX
| ρ/(g·cm-3) | A/MPa | B/MPa | C | n | m | Tmelt | γ |
|---|---|---|---|---|---|---|---|
| 7.83 | 507 | 320 | 0.064 | 0.28 | 1.06 | 1793 | 53.8 |
Table 1 Johnson-Cook constitutive model of steel 45#[13,19,24]
| ρ/(g·cm-3) | A/MPa | B/MPa | C | n | m | Tmelt | γ |
|---|---|---|---|---|---|---|---|
| 7.83 | 507 | 320 | 0.064 | 0.28 | 1.06 | 1793 | 53.8 |
| c/(m·s-1) | S1 | S2 | S3 | γ0 |
|---|---|---|---|---|
| 4570 | 1.49 | 0 | 0 | 2.17 |
Table 2 EOS Gruneisen parameters of steel 45#[13]
| c/(m·s-1) | S1 | S2 | S3 | γ0 |
|---|---|---|---|---|
| 4570 | 1.49 | 0 | 0 | 2.17 |
| ρ/ (g·cm-3) | D/ (m·s-1) | pCJ/ GPa | E/ (kJ·m-3) | C1/ GPa | C2/ GPa | ω | R1 | R2 |
|---|---|---|---|---|---|---|---|---|
| 1.717 | 7980 | 29 | 8.5×106 | 542 | 7.68 | 0.24 | 4.2 | 1.1 |
Table 3 Material model parameters of Comp B[26]
| ρ/ (g·cm-3) | D/ (m·s-1) | pCJ/ GPa | E/ (kJ·m-3) | C1/ GPa | C2/ GPa | ω | R1 | R2 |
|---|---|---|---|---|---|---|---|---|
| 1.717 | 7980 | 29 | 8.5×106 | 542 | 7.68 | 0.24 | 4.2 | 1.1 |
| 工况 | 装药长度/ mm | 壳体外径/ mm | 装药外径/ mm | 空腔直径/ mm |
|---|---|---|---|---|
| 1 | 77.3 | 29.68 | 23.6 | 0 |
| 2 | 90.0 | 54.00 | 45.0 | 0 |
| 3 | 90.0 | 54.00 | 45.0 | 18 |
| 4 | 90.0 | 54.00 | 45.0 | 27 |
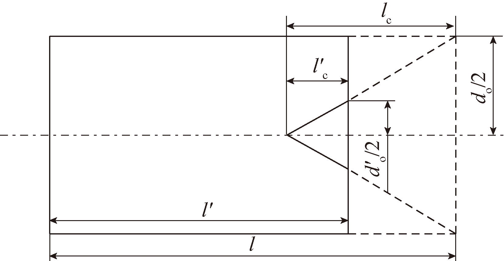
Table 4 Parameters of samples in Refs.[11,16]
| 工况 | 装药长度/ mm | 壳体外径/ mm | 装药外径/ mm | 空腔直径/ mm |
|---|---|---|---|---|
| 1 | 77.3 | 29.68 | 23.6 | 0 |
| 2 | 90.0 | 54.00 | 45.0 | 0 |
| 3 | 90.0 | 54.00 | 45.0 | 18 |
| 4 | 90.0 | 54.00 | 45.0 | 27 |
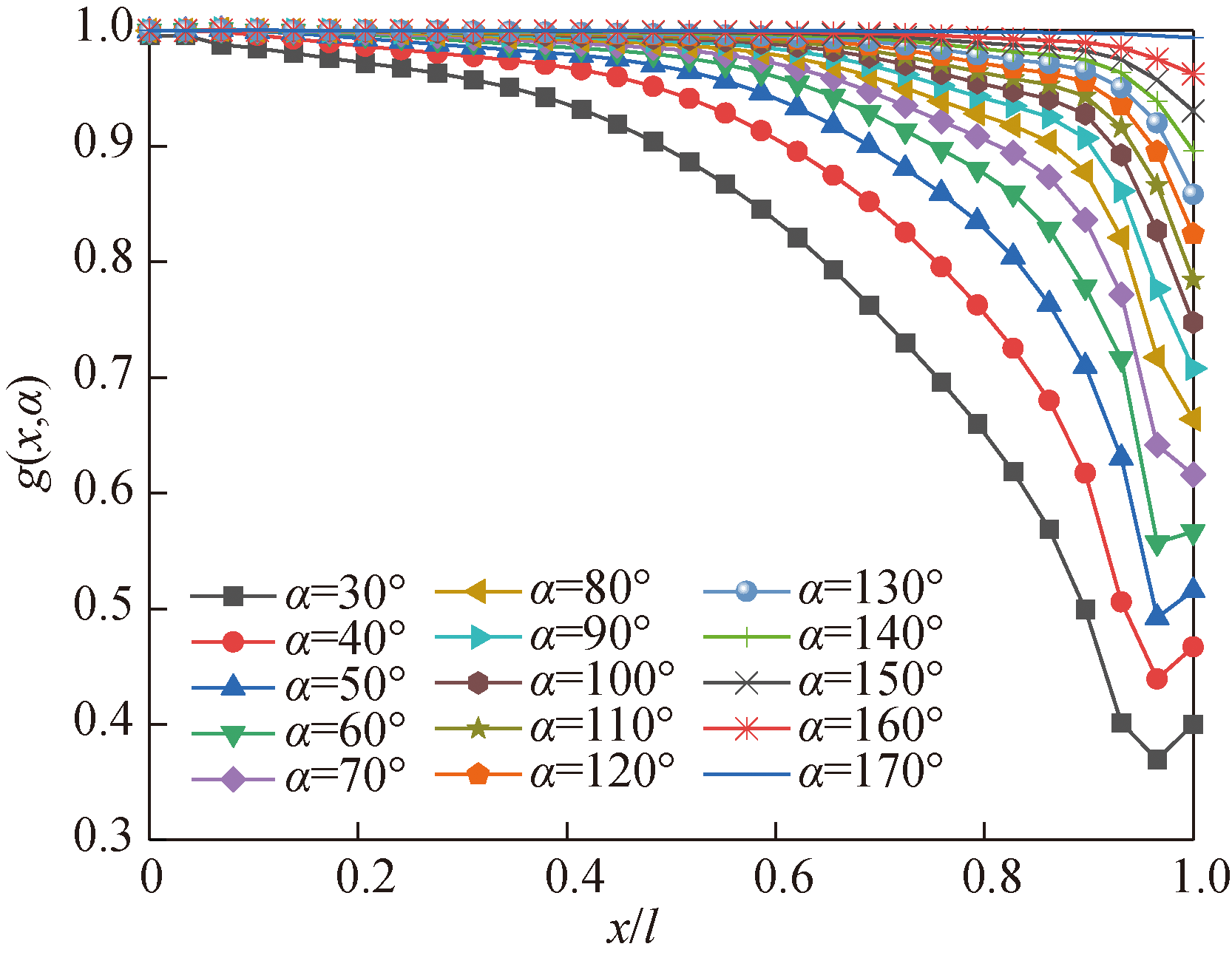
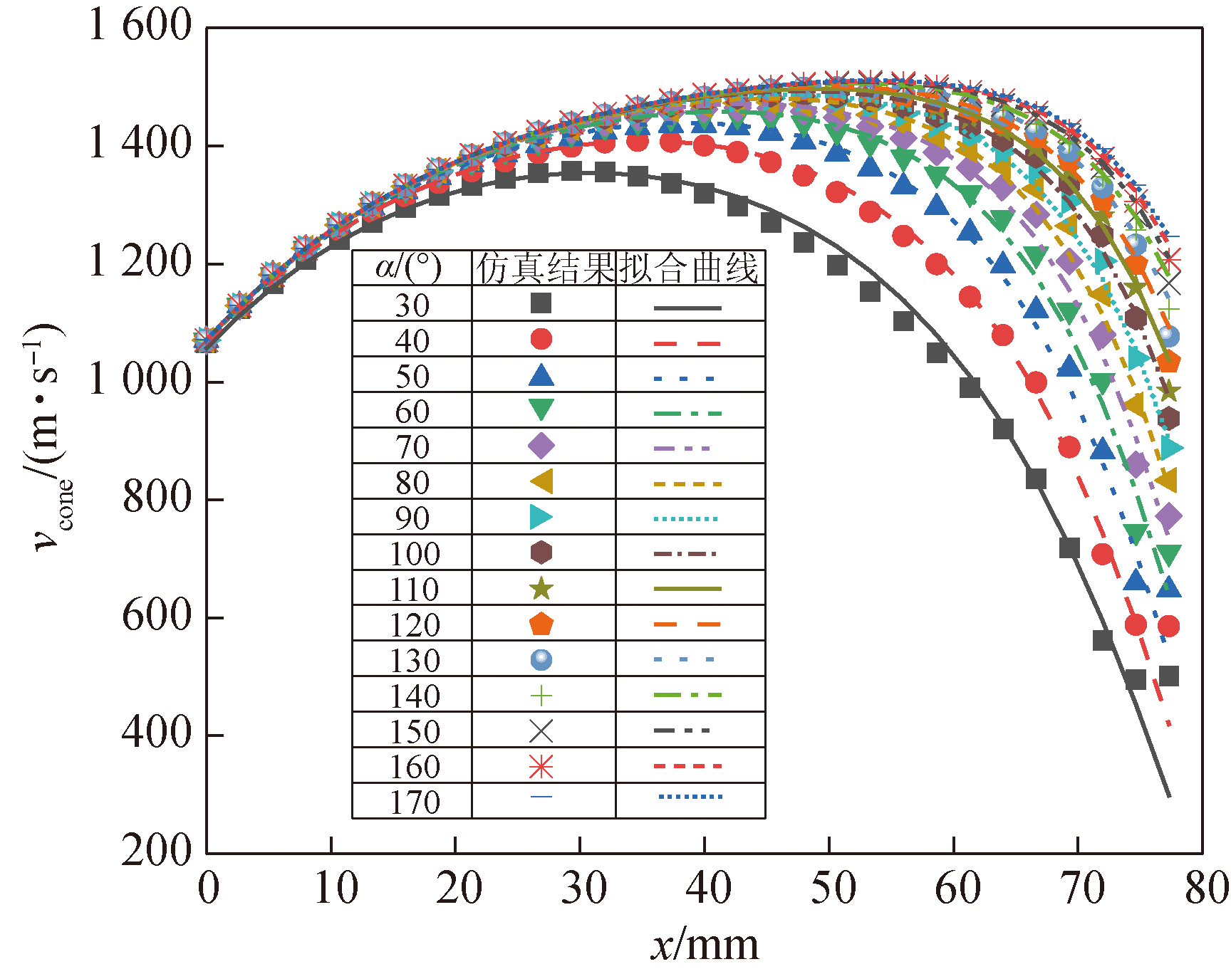
| 序号 | α/(°) | G(α) | H(α) | 拟合优度 |
|---|---|---|---|---|
| 1 | 30 | 0.75060 | 2.2140 | 0.9968 |
| 2 | 40 | 0.66710 | 2.0940 | 0.9981 |
| 3 | 50 | 0.58530 | 1.9810 | 0.9934 |
| 4 | 60 | 0.51180 | 1.8690 | 0.9825 |
| 5 | 70 | 0.42330 | 1.6710 | 0.9786 |
| 6 | 80 | 0.33620 | 1.4390 | 0.9759 |
| 7 | 90 | 0.26560 | 1.2260 | 0.9733 |
| 8 | 100 | 0.20530 | 1.0200 | 0.9736 |
| 9 | 110 | 0.15910 | 0.8439 | 0.9758 |
| 10 | 120 | 0.12480 | 0.7036 | 0.9770 |
| 11 | 130 | 0.09588 | 0.5724 | 0.9788 |
| 12 | 140 | 0.07377 | 0.4653 | 0.9767 |
| 13 | 150 | 0.05210 | 0.3519 | 0.9771 |
| 14 | 160 | 0.03660 | 0.2304 | 0.9689 |
| 15 | 170 | 0.00700 | 0.1287 | 0.9675 |
| 16 | 180 | 0 | 0 | 1.0000 |
Table 5 Fitting values and goodness of G(α) and H(α)
| 序号 | α/(°) | G(α) | H(α) | 拟合优度 |
|---|---|---|---|---|
| 1 | 30 | 0.75060 | 2.2140 | 0.9968 |
| 2 | 40 | 0.66710 | 2.0940 | 0.9981 |
| 3 | 50 | 0.58530 | 1.9810 | 0.9934 |
| 4 | 60 | 0.51180 | 1.8690 | 0.9825 |
| 5 | 70 | 0.42330 | 1.6710 | 0.9786 |
| 6 | 80 | 0.33620 | 1.4390 | 0.9759 |
| 7 | 90 | 0.26560 | 1.2260 | 0.9733 |
| 8 | 100 | 0.20530 | 1.0200 | 0.9736 |
| 9 | 110 | 0.15910 | 0.8439 | 0.9758 |
| 10 | 120 | 0.12480 | 0.7036 | 0.9770 |
| 11 | 130 | 0.09588 | 0.5724 | 0.9788 |
| 12 | 140 | 0.07377 | 0.4653 | 0.9767 |
| 13 | 150 | 0.05210 | 0.3519 | 0.9771 |
| 14 | 160 | 0.03660 | 0.2304 | 0.9689 |
| 15 | 170 | 0.00700 | 0.1287 | 0.9675 |
| 16 | 180 | 0 | 0 | 1.0000 |
| [1] |
王利侠, 袁宝慧, 孙兴昀, 等. 破甲/杀伤多用途战斗部结构设计及试验研究[J]. 火炸药学报, 2016, 39(2):75-79.
doi: 10.14077/j.issn.1007-7812.2016.02.016 |
|
|
|
| [2] |
陈文刚. 小口径破榴多功能弹药终点效应影响因素研究[D]. 南京: 南京理工大学, 2011.
|
|
|
|
| [3] |
张俊, 刘荣忠, 郭锐, 等. 破甲杀伤复合战斗部仿真研究[J]. 计算机仿真, 2012, 29(12):34-37
|
|
|
|
| [4] |
李兴隆, 陈科全, 路中华, 等. 装填系数对破甲杀伤复合战斗部威力影响的数值模拟[J]. 含能材料, 2019, 27(6):535-540.
|
|
|
|
| [5] |
韩文斌, 张国伟, 邵彬, 等. 药型罩锥角对破片飞散的影响[J]. 爆破器材, 2020, 49(1):18-23.
|
|
|
|
| [6] |
白晶, 张国伟, 陈京生, 等. 多功能战斗部药型罩结构参量研究[J]. 兵器装备工程学报, 2023, 44(1):96-101.
|
|
|
|
| [7] |
周兰庭, 张庆明, 龙仁荣. 新型战斗部原理与设计[M]. 北京: 国防工业出版社, 2018:292-294.
|
|
|
|
| [8] |
|
| [9] |
|
| [10] |
|
| [11] |
|
| [12] |
|
| [13] |
|
| [14] |
|
| [15] |
|
| [16] |
|
| [17] |
|
| [18] |
|
| [19] |
高月光, 冯顺山, 刘云辉, 等. 不同端盖厚度的圆柱形装药壳体破片初速分布[J]. 兵工学报, 2022, 43(7):1527-1536.
|
|
doi: 10.12382/bgxb.2021.0443 |
|
| [20] |
doi: 10.1016/j.dt.2020.06.024 |
| [21] |
|
| [22] |
|
| [23] |
崔秉贵. 弹药战斗部工程设计[M]. 北京: 北京理工大学,1995.
|
|
|
|
| [24] |
陈刚, 陈忠富, 陶俊林, 等. 45钢动态塑性本构参量与验证[J]. 爆炸与冲击, 2005, 25(5):69-74.
|
|
|
|
| [25] |
|
| [26] |
|
| [27] |
|
| [1] | ZHANG Xuemei, XIE Xingbo, ZHONG Mingshou, GU Wenbin, Yang Guili. Study on the Characteristics of Explosive B After Impact Detonation of Different Shaped Charges on Target in Water [J]. Acta Armamentarii, 2025, 46(9): 241046-. |
| [2] | WANG Zhibo, GU Jinjing, QIAN Haocheng. The Influence of Active Ventilation on Propeller Wake [J]. Acta Armamentarii, 2025, 46(9): 240905-. |
| [3] | WANG Yizhen, YIN Jianping, ZHANG Xuepeng, YI Jianya, LI Xudong. A Prediction Model for Dynamic Penetration of Shaped Charge Jet [J]. Acta Armamentarii, 2025, 46(6): 240932-. |
| [4] | BIE Haiyuan, ZHANG Hongyu, MA Hongbing, QIU Wenhao, ZHENG Yuanfeng. Formation Mechanism and Principle of Coated Reactive Explosively Formed Projectile [J]. Acta Armamentarii, 2025, 46(1): 231219-. |
| [5] | ZHOU Fangyi, ZHAN Famin, HUANG Xuefeng, JU Xiangyu, JIANG Tao. Test Research on Damage Effect of Full-size Shaped Charge Warhead with Conical-spherical Combined Liner [J]. Acta Armamentarii, 2024, 45(S2): 251-258. |
| [6] | LIU Chengzhe, WANG Haifu, ZHANG Jiahao, ZHENG Yuanfeng. Research on Behavior of Lightweight High-entropy Alloy Jet Penetrating Concrete Targets [J]. Acta Armamentarii, 2024, 45(S1): 60-69. |
| [7] | ZHOU Fangyi, ZHAN Famin, HUANG Xuefeng, JU Xiangyu, JIANG Tao. Research on Penetration of Conical-spherical Combined Liner Warhead into Double-layers Target Plate with Water Interlayer [J]. Acta Armamentarii, 2024, 45(S1): 278-286. |
| [8] | WANG Jin, LIU Yize, ZHANG Hongyu, YAN Yueguang, WANG Haifu, GE Chao. Dispersion Characteristics and Rule of Fragments of Linear Focusing Fragment Warhead [J]. Acta Armamentarii, 2024, 45(S1): 161-173. |
| [9] | WANG Xinyu, JIANG Chunlan, WANG Zaicheng, FANG Yuande. Research on the Pressure Relief Structure of JEO Shaped Charge Warhead during Cook-off [J]. Acta Armamentarii, 2024, 45(1): 1-14. |
| [10] | WANG Haifu, HE Suo, CAI Yiqiang, XIANG Jing'an, SU Chenghai, GUO Huanguo. Damage Behavior of Multi-layer Spaced Target Plates Penetrated by Reactive Composite Jet [J]. Acta Armamentarii, 2023, 44(2): 325-333. |
| [11] | XIA Liu, WU Weichao, PAN Aigang, WANG Yafei, WANG Qiang, YAN Shen. A Comparison of Damage Effectivenesses of Reinforced Concrete Beams by Single-point and Three-point Array Damage Patterns [J]. Acta Armamentarii, 2023, 44(12): 3851-3861. |
| [12] | ZHANG Xue-peng, XIAO Jian-guang, YU Qing-bo, ZHENG Yuan-feng, WANG Hai-fu. Armor Penetration Aftereffect Overpressure Produced by Reactive Material Liner Shaped Charge [J]. Acta Armamentarii, 2016, 37(8): 1388-1394. |
| [13] | WANG Bao-hua, PEI Yi-xuan, HUO Yong-mou, XUN Pan-pan. A Convenient Solution Method for Kill Probability of Antiaircraft Rocket Weapon [J]. Acta Armamentarii, 2016, 37(4): 751-755. |
| [14] | MA Bin, HUANG Zheng-xiang, ZU Xu-dong, XIAO Qiang-qiang, JIA Xin. Research on Magnetic Field Inhibiting the Rotation of Shaped Charge Jet Particles [J]. Acta Armamentarii, 2016, 37(4): 603-611. |
| [15] | MA Bin, HUANG Zheng-xiang, ZU Xu-dong, XIAO Qiang-qiang, JIA Xin. Effect of Time-sequence Control on Coupling of Strong Magnetic Field and Shaped Charge Jet [J]. Acta Armamentarii, 2016, 37(12): 2177-2184. |
| Viewed | ||||||
|
Full text |
|
|||||
|
Abstract |
|
|||||