Welcome to Acta Armamentarii ! Today is

Acta Armamentarii ›› 2025, Vol. 46 ›› Issue (9): 241051-.doi: 10.12382/bgxb.2024.1051

Previous Articles     Next Articles

Ballistic Characteristics of Quasi-elliptical Cross-section Projectile Penetrating into Finite-thick Concrete Target

SHI Zhenqing1, LIU Yan1,2,3,*(), WANG Xiaofeng1, YAN Junbo1, BAI Fan1, SI Peng1,3, HUANG Fenglei1   

  1. 1 State Key Laboratory of Explosion Science and Safety Protection, Beijing Institute of Technology, Beijing 100081, China
    2 Beijing Institute of Technology Chongqing Innovation Center, Chongqing 401120, China
    3 Yangtze Delta Region Academy of Beijing Institute of Technology, Jiaxing 314019, Zhejiang, China
  • Received:2024-11-19 Online:2025-09-24
  • Contact: LIU Yan

Abstract:

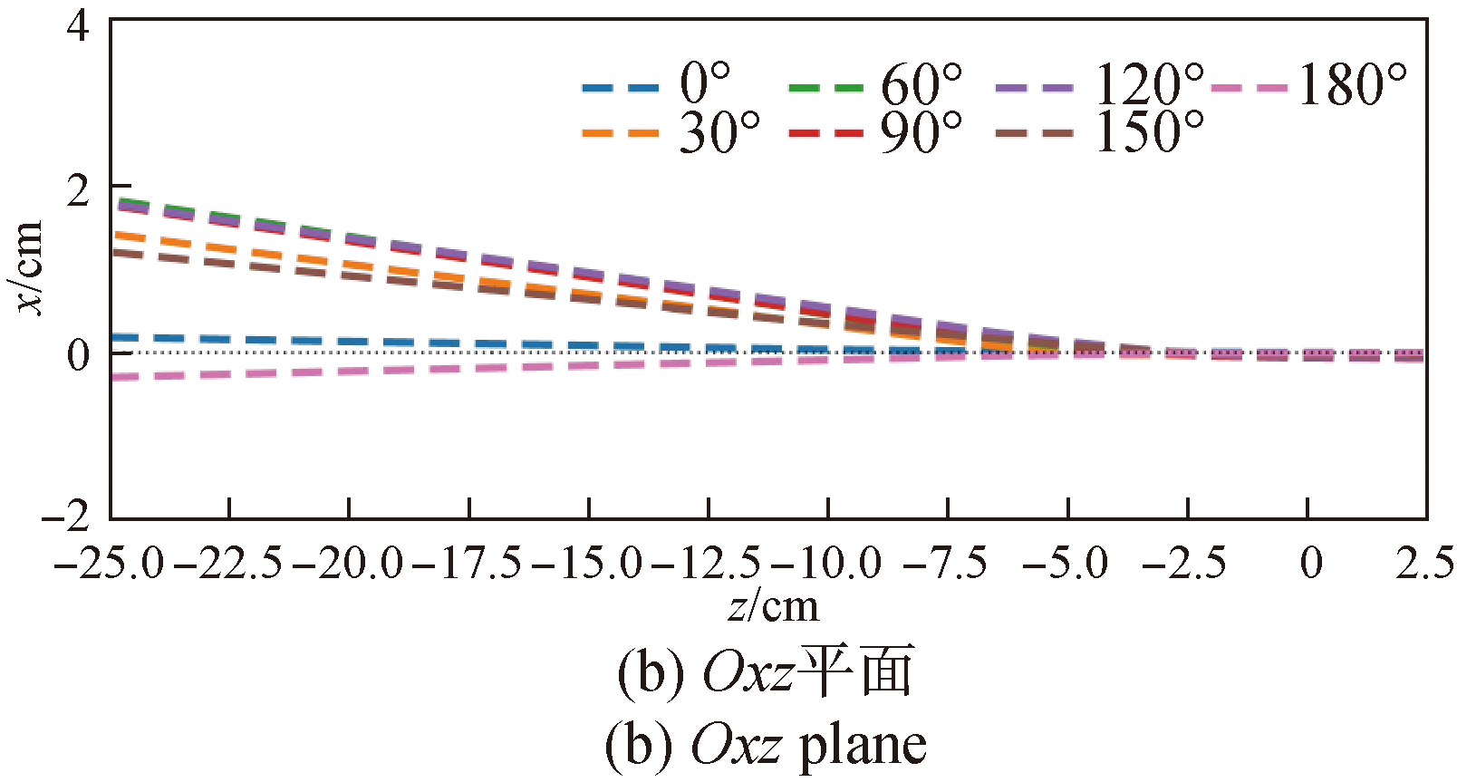
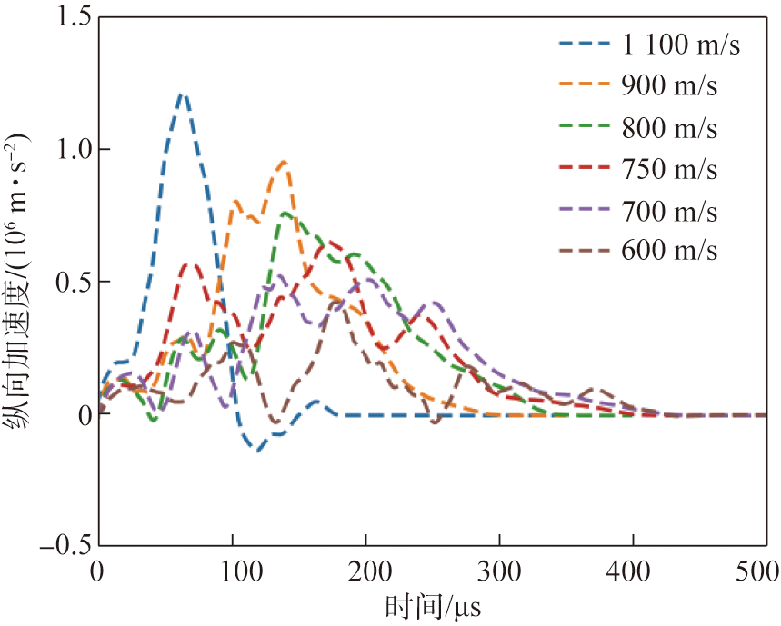
To investigate the ballistic characteristics of a quasi-elliptical cross-section projectile penetrating into finite-thick concrete target,the tests are made on the normal and oblique penetrations of quasi-elliptical cross-section projectiles into the concrete targets with different thicknesses.The variation trends of the longitudinal acceleration and trajectory deflection angle of projectile during different penetrating stages are analyzed through the numerical simulation using the finite element method-smooth particle Galerkin (FEM-SPG) algorithm.The effects of impact velocity,target plate thickness,oblique angle,rolling angle and angle of attack on the trajectory deflection are discussed.The research results show that the trajectory deflects toward the flatter surface and the deflection mainly occurs in the tunnel stage and the plugging stage when a quasi-elliptical cross-section projectile penetrates into a target plate with finite thickness.As the thickness of the target plate increases,the trajectory deflection angle increases.The deflection caused at the cratering stage is only 1.4% of the final deflection angle in numerical simulation.There is a critical impact speed,which makes the deflection angle of the normal penetration trajectory decrease with the increase of the penetration speed above this target impact speed,while below this critical value,an inverse relationship is observed.Furthermore,the critical speed demonstrates non-monotonic dependence on target thickness,exhibiting an initial increase followed by progressive reduction until stabilization occurs.The trajectory changes from downward deflection to upward deflection with the increase in the angle of attack (-6°-6°) when the projectile penetrates into a target at the same oblique angle.The trajectory has excellent stability within the range of 0°-30° oblique angle at 2° angle of attack.The attitude stability of the projectile generally weakens first and then increases with the increase of the rolling angle on Oxz plane.When the rolling angle is less than 150°,the projectile shows a negative angle of attack after it ends interacting with the target.

Key words: quasi-elliptical cross-section projectile, oblique penetration, finite-thick concrete targets, ballistics

CLC Number: