
兵工学报 ›› 2025, Vol. 46 ›› Issue (10): 250344-.doi: 10.12382/bgxb.2025.0344
易晓菲1, 彭克锋1,**(
), 常白雪1, 张元瑞1, 刘家贵2, 郑志军1,*(
)
收稿日期:2025-05-06
上线日期:2025-11-05
通讯作者:
基金资助:
YI Xiaofei1, PENG Kefeng1,**(
), CHANG Baixue1, ZHANG Yuanrui1, LIU Jiagui2, ZHENG Zhijun1,*(
)
Received:2025-05-06
Online:2025-11-05
摘要:
三明治夹芯结构在抗爆炸领域应用广泛,然而传统结构的芯层往往存在载荷稳定度不足的问题,进而限制了其防护性能。为了解决上述问题,以墨鱼骨为设计灵感,结合多孔结构的动态增强效应,提出了一种仿生梯度双波纹夹芯结构,并采用梯度多胞子弹作为加载手段对其抗冲击性能进行了系统性研究。结果表明,相比于无梯度设计的仿生双波纹夹芯结构,仿生梯度双波纹夹芯结构的压溃力效率提高了26.4%,表现出优异的抗冲击性能。当梯度分布参数和上轴率分别控制在0.1~0.15和0.5~0.75范围时,结构的压溃力效率稳定维持在80%左右,为新型防护结构设计和测试提供了新的思路和方法。
易晓菲, 彭克锋, 常白雪, 张元瑞, 刘家贵, 郑志军. 仿爆炸加载下仿生梯度双波纹结构的动态响应[J]. 兵工学报, 2025, 46(10): 250344-.
YI Xiaofei, PENG Kefeng, CHANG Baixue, ZHANG Yuanrui, LIU Jiagui, ZHENG Zhijun. Dynamic Response of Biomimetic Gradient Double Corrugated Structure under Simulated Blast Load[J]. Acta Armamentarii, 2025, 46(10): 250344-.
图4 梯度多胞子弹冲击仿生梯度双波纹夹芯结构有限元模型
Fig.4 A finite element model of the biomimetic gradient double corrugated sandwich structure impacted by graded cellular projectile
| 序号 | bu/ mm | bl/ mm | R/ mm | L/ mm | N | k | γu | γl | M/ g |
|---|---|---|---|---|---|---|---|---|---|
| 1 | 1.5 | 2.5 | 2.0 | 48 | 4 | 0.05 | 0.75 | 1.25 | 1.57 |
| 2 | 3.0 | 5.0 | 4.0 | 48 | 4 | 0.10 | 0.75 | 1.25 | 1.57 |
| 3 | 4.5 | 7.5 | 6.0 | 48 | 3 | 0.15 | 0.75 | 1.25 | 1.18 |
| 4 | 6.0 | 10.0 | 8.0 | 48 | 3 | 0.20 | 0.75 | 1.25 | 1.18 |
| 5 | 1.0 | 3.0 | 2.0 | 48 | 4 | 0.10 | 0.5 | 1.50 | 1.58 |
| 6 | 2.0 | 4.0 | 2.7 | 48 | 4 | 0.10 | 0.75 | 1.50 | 1.67 |
| 7 | 4.0 | 6.0 | 4.0 | 48 | 3 | 0.10 | 1.00 | 1.50 | 1.33 |
| 8 | 10.0 | 12.0 | 8.0 | 48 | 2 | 0.10 | 1.25 | 1.50 | 0.93 |
| 9 | 6.0 | 8.0 | 8.0 | 48 | 3 | 0.10 | 0.75 | 1.00 | 1.10 |
| 10 | 1.5 | 3.5 | 2.0 | 48 | 4 | 0.10 | 0.75 | 1.75 | 1.77 |
| 11 | 5.0 | 5.0 | 5.0 | 50 | 4 | 0.00 | 1.00 | 1.00 | 1.50 |
| 12 | 3.0 | 5.0 | 5.0 | 50 | 4 | 0.10 | 0.60 | 1.00 | 1.48 |
| 13 | 3.0 | 6.0 | 5.0 | 50 | 4 | 0.15 | 0.60 | 1.20 | 1.56 |
| 14 | 3.8 | 5.8 | 5.0 | 50 | 4 | 0.10 | 0.75 | 1.15 | 1.60 |
表1 仿生梯度双波纹夹芯结构的几何参数
Table 1 Geometric parameters of biomimetic gradient double corrugated sandwich structure
| 序号 | bu/ mm | bl/ mm | R/ mm | L/ mm | N | k | γu | γl | M/ g |
|---|---|---|---|---|---|---|---|---|---|
| 1 | 1.5 | 2.5 | 2.0 | 48 | 4 | 0.05 | 0.75 | 1.25 | 1.57 |
| 2 | 3.0 | 5.0 | 4.0 | 48 | 4 | 0.10 | 0.75 | 1.25 | 1.57 |
| 3 | 4.5 | 7.5 | 6.0 | 48 | 3 | 0.15 | 0.75 | 1.25 | 1.18 |
| 4 | 6.0 | 10.0 | 8.0 | 48 | 3 | 0.20 | 0.75 | 1.25 | 1.18 |
| 5 | 1.0 | 3.0 | 2.0 | 48 | 4 | 0.10 | 0.5 | 1.50 | 1.58 |
| 6 | 2.0 | 4.0 | 2.7 | 48 | 4 | 0.10 | 0.75 | 1.50 | 1.67 |
| 7 | 4.0 | 6.0 | 4.0 | 48 | 3 | 0.10 | 1.00 | 1.50 | 1.33 |
| 8 | 10.0 | 12.0 | 8.0 | 48 | 2 | 0.10 | 1.25 | 1.50 | 0.93 |
| 9 | 6.0 | 8.0 | 8.0 | 48 | 3 | 0.10 | 0.75 | 1.00 | 1.10 |
| 10 | 1.5 | 3.5 | 2.0 | 48 | 4 | 0.10 | 0.75 | 1.75 | 1.77 |
| 11 | 5.0 | 5.0 | 5.0 | 50 | 4 | 0.00 | 1.00 | 1.00 | 1.50 |
| 12 | 3.0 | 5.0 | 5.0 | 50 | 4 | 0.10 | 0.60 | 1.00 | 1.48 |
| 13 | 3.0 | 6.0 | 5.0 | 50 | 4 | 0.15 | 0.60 | 1.20 | 1.56 |
| 14 | 3.8 | 5.8 | 5.0 | 50 | 4 | 0.10 | 0.75 | 1.15 | 1.60 |
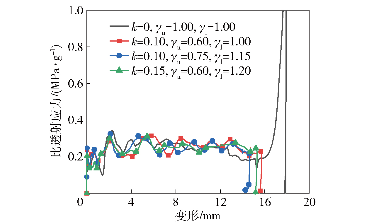
图11 不同梯度参数的仿生梯度双波纹夹芯结构的透射应力-变形曲线
Fig.11 Transmitted stress-deformation curves of biomimetic gradient double corrugated sandwich structures with different geometrical parameters
图12 仿生梯度双波纹夹芯结构的平均应力及其预测公式的比较
Fig.12 Comparison of predicted and calculated average stresses of biomimetic gradient double corrugated sandwich structure
图13 定制化设计的仿生梯度双波纹夹芯结构的透射应力-变形曲线
Fig.13 Transmitted stress-deformation curve of biomimetic gradient double corrugated sandwich structure with customized design
| [1] |
|
| [2] |
|
| [3] |
|
| [4] |
|
| [5] |
|
| [6] |
|
| [7] |
|
| [8] |
|
| [9] |
|
| [10] |
|
| [11] |
|
| [12] |
|
| [13] |
|
| [14] |
常白雪, 郑志军, 赵凯, 等. 具有恒定冲击载荷的梯度泡沫金属材料设计[J]. 爆炸与冲击, 2019, 39(4): 3-11.
|
|
|
|
| [15] |
|
| [16] |
|
| [17] |
|
| [18] |
|
| [19] |
|
| [20] |
|
| [21] |
|
| [22] |
|
| [23] |
|
| [24] |
|
| [25] |
|
| [1] | 刘启明, 樊铮炎, 李涛, 杨伟龙, 韩旭. 高过载环境下弹载电子封装焊点失效机理[J]. 兵工学报, 2025, 46(9): 241006-. |
| [2] | 顾敏辉, 唐奎, 王金相, 夏靖雯, 李渊博, 王鸿飞. 带切缝PELE的侵彻破碎特性及毁伤后效[J]. 兵工学报, 2025, 46(8): 240898-. |
| [3] | 安骋远, 刘海鹏, 刘彦, 任炜. 椭圆截面柱形炸药爆炸冲击波威力特性[J]. 兵工学报, 2025, 46(8): 240969-. |
| [4] | 李青松, 王磊, 赵宁, 张笑天, 张磊, 王克鸿. 电弧增材框体结构有限元仿真模拟与实验[J]. 兵工学报, 2025, 46(7): 240629-. |
| [5] | 闫铭, 王昕捷, 黄风雷, 尤飒. 高超声速气动加热下战斗部装药热-点火响应与典型结构热防护特性[J]. 兵工学报, 2025, 46(6): 240401-. |
| [6] | 刘曦, 马天宝, 李健. 气相爆轰波温度界面折射问题的数值模拟[J]. 兵工学报, 2025, 46(10): 250377-. |
| [7] | 李元, 王天池, 侯兵, 索涛, 豆清波. 烧结纤维网络材料爆炸冲击防护数值模拟[J]. 兵工学报, 2025, 46(10): 250402-. |
| [8] | 熊俊, 代仪军, 宫翔飞, 刘鲁峰. 一种改进的高效并行爆轰冲击波动力学算法及验证与确认[J]. 兵工学报, 2025, 46(10): 250411-. |
| [9] | 朱炜, 姚文进, 黄广炎, 李文彬, 王晓鸣. 纳米多孔材料液体系统对近场爆炸载荷削弱效应[J]. 兵工学报, 2025, 46(10): 250468-. |
| [10] | 贾迪, 陈传庆, 李鑫. 泡沫基负有效质量超材料抗爆性能的数值模拟[J]. 兵工学报, 2025, 46(10): 250505-. |
| [11] | 刘贞娴, 蒋建伟, 李梅, 谢泓炜. 压环对爆炸成型弹丸成型影响的高精度仿真分析[J]. 兵工学报, 2025, 46(1): 231193-. |
| [12] | 杨茜, 冯榆坤, 陈作钢, 张岩. 浅水条件下喷水推进船航态及喷射流形态研究[J]. 兵工学报, 2024, 45(S2): 123-132. |
| [13] | 姜豪杰, 彭永, 孙宇雁, 王子国, 徐佳沛. RC桥墩的爆炸毁伤规律及快速计算模型[J]. 兵工学报, 2024, 45(S2): 305-316. |
| [14] | 许辉, 陈作钢, 蔡佑林. 基于壁模化大涡数值模拟的喷水推进泵内湍流运动特性分析[J]. 兵工学报, 2024, 45(S2): 55-64. |
| [15] | 金文, 蒋建伟, 门建兵, 李梅, 李海峰, 周鑫. 柱形容器约束下内装粉体冲击响应特性[J]. 兵工学报, 2024, 45(S1): 183-190. |
| 阅读次数 | ||||||
|
全文 |
|
|||||
|
摘要 |
|
|||||
京公网安备11010802024360号 京ICP备05059581号-4