Welcome to Acta Armamentarii ! Today is

Acta Armamentarii ›› 2025, Vol. 46 ›› Issue (9): 241001-.doi: 10.12382/bgxb.2024.1001

Previous Articles     Next Articles

Thickness Equivalence Model Based on Serial Neural Network for Explosion Resistance of Radome

CHEN Changfa1, WU Jun’an1, GUO Rui1, CUI Hao1, YAN Shuaiyin1, ZHOU Hao2,*()   

  1. 1 School of Mechanical Engineering, Nanjing University of Science and Technology, Nanjing 210094, Jiangsu, China
    2 School of Chemistry and Chemical Engineering, Nanjing University of Science and Technology, Nanjing 210094, Jiangsu, China
  • Received:2024-10-31 Online:2025-09-24
  • Contact: ZHOU Hao

Abstract:

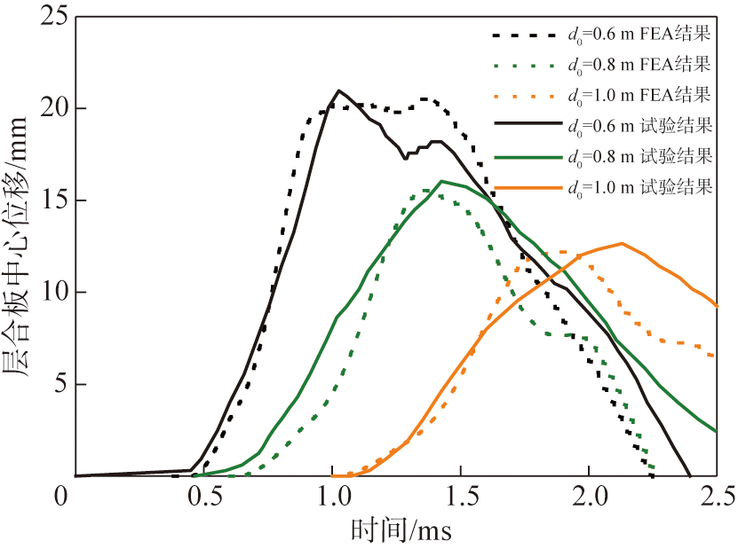
The thickness equivalence of composite radome under the far-field explosion loads is studied by taking the fiber-reinforced polymer (FRP) laminate as the research object.A serial artificial neural network (S-ANN) model based on the principle of deflection equivalence is proposed to predict the thickness equivalence relationship between glass fiber radomes with different performances.A finite element model for the dynamic response of FRP laminates under explosive loads is established.The maximum deflection of FRP laminates under the conditions of different detonation distances,laminate thicknesses,densities,and longitudinal elastic moduli is obtained by conducting batch calculations on this finite element model.Based on this,a S-ANN thickness equivalence model is established.The proposed model achieves the thickness equivalence for different types of FRP materials under far-field explosion loads.In addition,the frequency response characteristics of the glass fiber equivalent radome are analyzed using the A ¯ B ¯ C ¯ D ¯ transmission matrix and a numerical simulation method.The research results show that the longitudinal elastic modulus has the greatest influence on the explosion resistance and equivalent thickness of glass fiber radome under far-field explosion loads.The equivalent thickness has little influence on the amplitude of the radome’s transmission efficiency,but it changes the resonant frequency of the radome’s transmission efficiency.This study can provide reference for the thickness equivalence research and optimization design of radomes.

Key words: radome, fiber reinforced composite material, neural network, finite element, explosion load, thickness equivalence

CLC Number: