Welcome to Acta Armamentarii ! Today is

Acta Armamentarii ›› 2025, Vol. 46 ›› Issue (9): 240894-.doi: 10.12382/bgxb.2024.0894

Previous Articles     Next Articles

An Improved Particle Swarm Optimization Algorithm for Optimizing the Aiming Point of Multiple Projectiles against Surface Targets

YIN Peng1,2, HUANG Fenglei1,2, SHI Keren3, YAN Xuefei4,*(), LIU Yan1,2,**(), YAN Jiang1, YU Jie2   

  1. 1 State Key Laboratory of Explosion Science and Safety Protection, Beijing Institute of Technology, Beijing 100081, China
    2 Yangtze Delta Region Academy, Beijing Institute of Technology, Jiaxing 314000, Zhejiang, China
    3 Unit 93756 of PLA, Tianjin 300401, China
    4 Unit 32801 of PLA, Beijing 100082, China
  • Received:2024-09-25 Online:2025-09-24
  • Contact: YAN Xuefei, LIU Yan

Abstract:

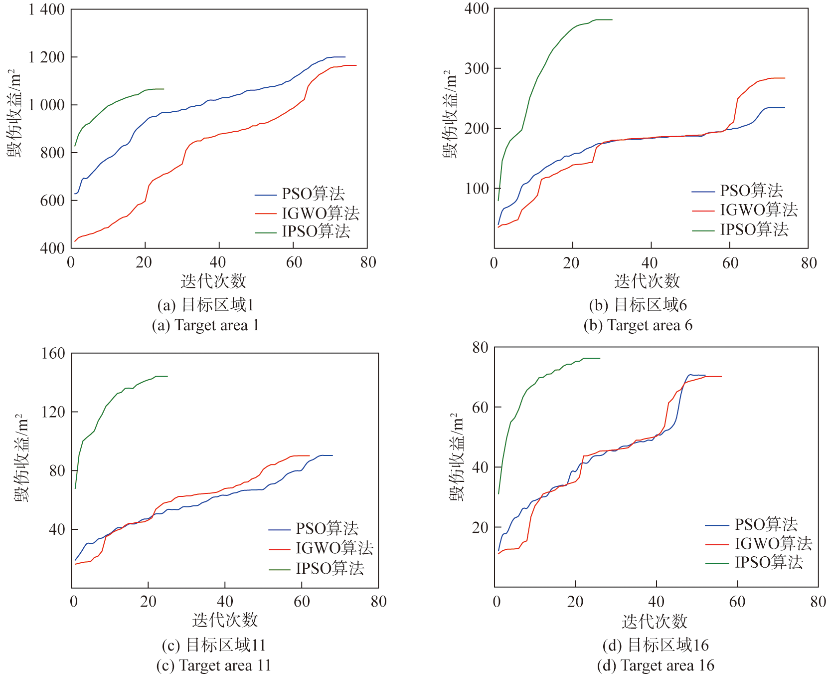
An improved particle swarm optimization (IPSO) algorithm is proposed to optimize the optimal aiming point of multiple projectiles against complex-shaped surface targets.When constructing an aiming point selection model,the influences of complex factors such as surface target area shape,regional correlation,ammunition power area,ammunition hit accuracy,cumulative damage and multi-projectiles combined damage on target damage effect are considered comprehensively.Particle swarm optimization (PSO) algorithm is improved by preassigning the particle positions and introducing the particle activation energy,which not only improves the convergence speed of the algorithm but also ensures the global search ability.The proposed algorithm is verified through typical complex target test cases.The results show that,compared with Monte Carlo algorithm,PSO algorithm and improved grey wolf optimization algorithm,the IPSO algorithm has a better ability to select aiming points,and increases the average damage yield by 4.3%.And the average computation time for aiming point selection is only 1/4-1/3 of that of traditional optimization algorithms.,which has obvious advantages in damage income and computing efficiency.

Key words: multiple ammunition, improved particle swarm optimization, aiming point selection, cumulative damage, combined damage, complex surface target