Welcome to Acta Armamentarii ! Today is

Acta Armamentarii ›› 2025, Vol. 46 ›› Issue (9): 240979-.doi: 10.12382/bgxb.2024.0979

Previous Articles     Next Articles

A Cooperative Encirclement Interception Method for High-speed Maneuvering Target in Head-on Engagement

LI Peilin, GUO Jie*(), WANG Haoning, LIU Youxin, WAN Yangyang, TANG Shengjing   

  1. School of Aerospace Engineering, Beijing Institute of Technology, Beijing 100081, China
  • Received:2024-10-21 Online:2025-09-24
  • Contact: GUO Jie

Abstract:

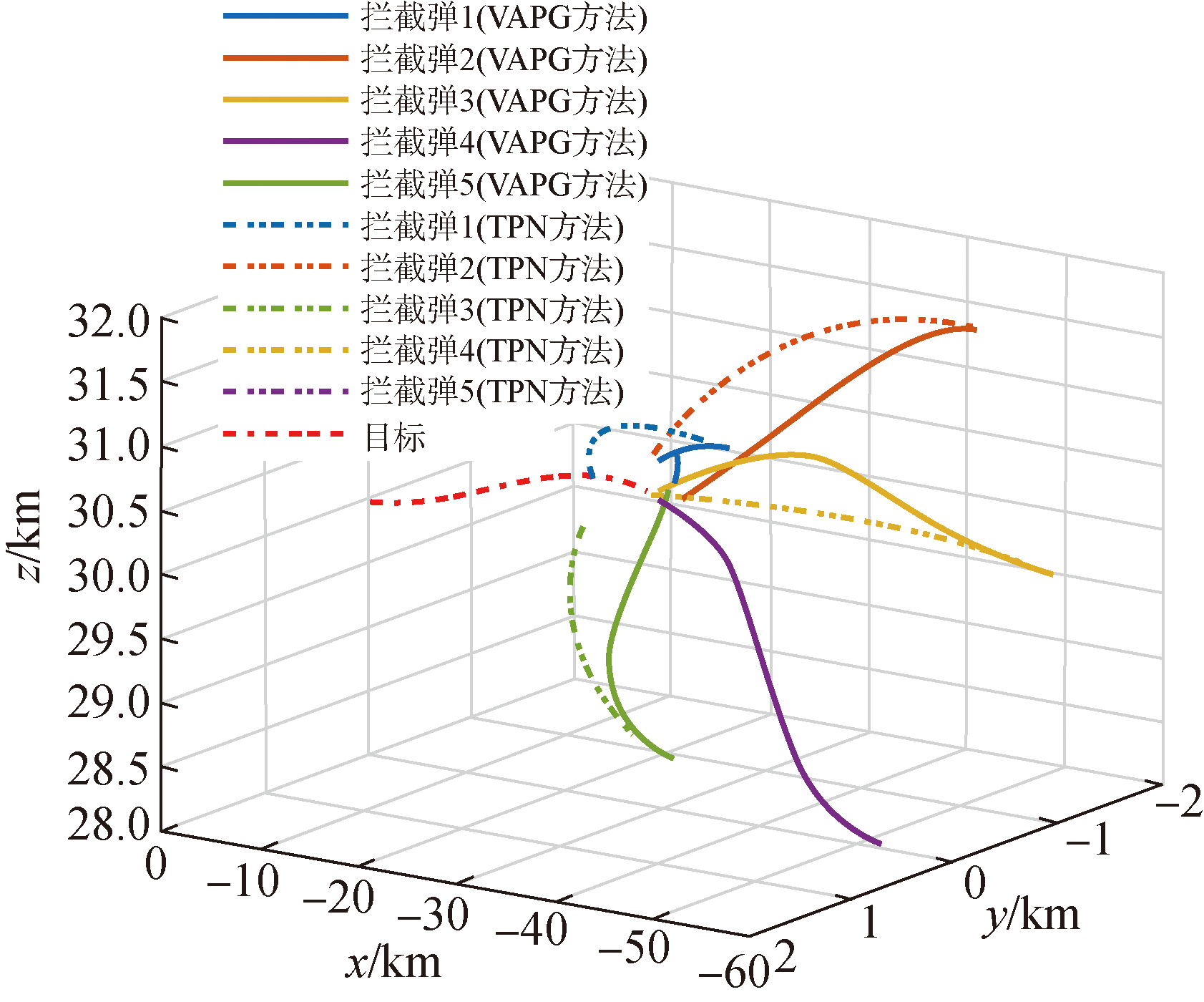
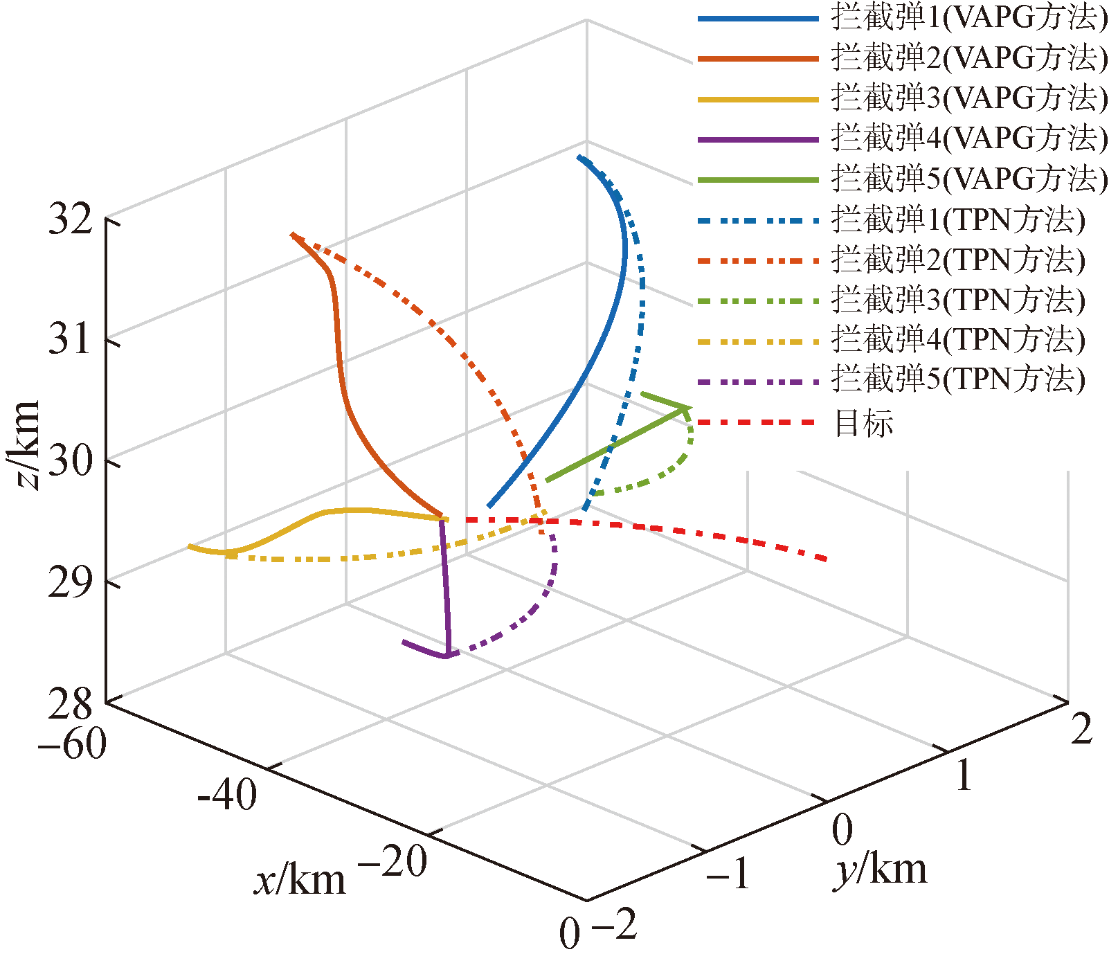
A cooperative encirclement interception method based on virtual aiming points is proposed for intercepting the high-speed maneuvering targets in near-space in three-dimensional scenarios.A calculation method for the ideal interception time of interceptor groups is derived by analyzing the maneuvering envelope of target and considering the guidance characteristics of the interceptors.Thus,the problem of intercepting the high-speed maneuvering targets is transformed into a problem of hitting a specific point on a fixed spatial plane at a predetermined time and angle.Based on the ideal interception time and angle of attack,the virtual aiming points are selected in space to guide the interceptors,ensuring that the impact angles meet the head-on interception conditions,thereby reducing the requirement for the speed of interceptor.The interception tests are conducted on two typical C-type and S-type maneuvering targets through numerical simulation.The results demonstrate that the proposed method is used to successfully intercept C-type and S-type maneuvering targets with different maneuvering intensities,achieve a minimum group miss distance of less than 3 meters,and enable the impact angle meet the requirements of head-on interception angle.

Key words: near space target, cooperative encirclement interception, head on interception, virtual aiming point, maneuvering target

CLC Number: