Welcome to Acta Armamentarii ! Today is

Acta Armamentarii ›› 2025, Vol. 46 ›› Issue (11): 250073-.doi: 10.12382/bgxb.2025.0073

Previous Articles     Next Articles

The Dynamic Mechanical Properties and Constitutive Model of Fiber-reinforced Polyurea Materials

FU Liheng1, YAO Xiangyang1, WANG Luqing1, MA Honghao1,*(), QI Feng2   

  1. 1 CAS Key Laboratory of Mechanical Behavior and Design of Materials, University of Science and Technology of China, Hefei 230026, Anhui, China
    2 Qingdao Green World New Materical Technology Co., Ltd., Qingdao 266107, Shandong, China
  • Received:2025-01-22 Online:2025-11-27
  • Contact: MA Honghao

Abstract:

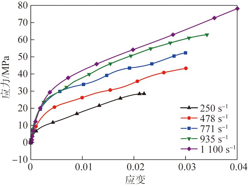
The dynamic mechanical property of fiber-reinforced polyurea material is studied.The dynamic compression experiments are conducted on the polyurea material specimen by using a separated Hopkinson pressure bar (SHPB).The stress-strain curves of the specimens within different strain rates at three different temperatures are obtained through the experiments.A visco-elastic constitutive model based on the standard linear solid model is established.The experimental results show that the dynamic mechanical response of fiber-reinforced polyurea is nonlinear,with the stress-strain curve consisting of a super-stress region and a hyperelastic region.As the strain increases,the super-stress value tends to stabilize,and the nonlinear term associated with strain rate in the constitutive model also gradually approaches a stable value related to the strain rate.The visco-elastic constitutive model based on the standard linear solid model can accurately describe the dynamic mechanical behavior of fiber-reinforced polyurea.The constitutive model is implemented through secondary development in LS-DYNA for simulation.In both SHPB and air blast simulations,the simulated results are in good agreement with the experimental data,which validates the accuracy of the constitutive model.

Key words: polyurea material, separated Hopkinson pressure bar test, dynamic mechanical property, constitutive model

CLC Number: