
Acta Armamentarii ›› 2025, Vol. 46 ›› Issue (11): 250014-.doi: 10.12382/bgxb.2025.0014
Previous Articles Next Articles
ZHANG Peng1, JIANG Yongbo2,*(
), MA Peng3, LU Jinfang3, WU Chao1, CHEN Zihao2,**(
), LI Ying2
Received:2025-01-03
Online:2025-11-27
Contact:
JIANG Yongbo, CHEN Zihao
ZHANG Peng, JIANG Yongbo, MA Peng, LU Jinfang, WU Chao, CHEN Zihao, LI Ying. Response Characteristics of Different Posture Crew Impacted by Underwater Explosion[J]. Acta Armamentarii, 2025, 46(11): 250014-.
Add to citation manager EndNote|Ris|BibTeX
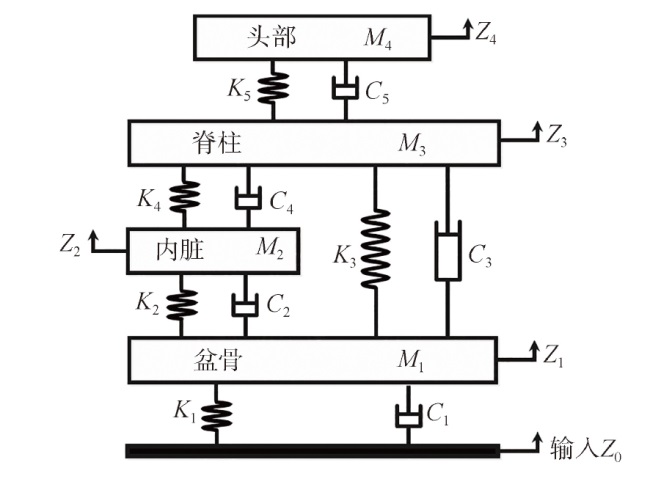
| 质量/kg | 刚度/(N·m-1) | 阻尼/(N·s·m-1) |
|---|---|---|
| M4=4.17 | K5=166990 | C5=310 |
| M3=15 | K4=10000 | C4=200 |
| K3=144000 | C3=909.1 | |
| M2=5.5 | K2=20000 | C2=330 |
| M1=36 | K1=49340 | C1=2475 |
Table 1 The parameters of sitting human model
| 质量/kg | 刚度/(N·m-1) | 阻尼/(N·s·m-1) |
|---|---|---|
| M4=4.17 | K5=166990 | C5=310 |
| M3=15 | K4=10000 | C4=200 |
| K3=144000 | C3=909.1 | |
| M2=5.5 | K2=20000 | C2=330 |
| M1=36 | K1=49340 | C1=2475 |
| 质量/kg | 刚度/(N·m-1) | 阻尼比 |
|---|---|---|
| N1=2.5 | K1=6.4×106 | |
| N2=6.64 | K2=9.0×106 | |
| N3=8.36 | K3=2.36×106 | |
| N4=19 | K4=1.625×108×δ2 | |
| N5=21.8 | K5=3.7806×103+10.9× 106×δ-2.6868×107×δ2 | |
| N6=6.8 | K6=2831.8 | |
| N7=5.5 | K7=202286.1 | |
Table 2 The parameters of standing human model
| 质量/kg | 刚度/(N·m-1) | 阻尼比 |
|---|---|---|
| N1=2.5 | K1=6.4×106 | |
| N2=6.64 | K2=9.0×106 | |
| N3=8.36 | K3=2.36×106 | |
| N4=19 | K4=1.625×108×δ2 | |
| N5=21.8 | K5=3.7806×103+10.9× 106×δ-2.6868×107×δ2 | |
| N6=6.8 | K6=2831.8 | |
| N7=5.5 | K7=202286.1 | |
| 质量/kg | 转动惯量/(kg·m2) | ||
|---|---|---|---|
| 参数 | 数值 | 参数 | 数值 |
| 01 | 6.36 | I1 | 1.35 |
| 02 | 23.96 | I2 | 1.03 |
| 03 | 21.27 | I3 | 0.98 |
| 04 | 15.37 | I4 | 0.93 |
| 05 | 9.55 | I5 | 0.98 |
Table 3 Mass and moment of inertia parameters of a supine human body model[19-20]
| 质量/kg | 转动惯量/(kg·m2) | ||
|---|---|---|---|
| 参数 | 数值 | 参数 | 数值 |
| 01 | 6.36 | I1 | 1.35 |
| 02 | 23.96 | I2 | 1.03 |
| 03 | 21.27 | I3 | 0.98 |
| 04 | 15.37 | I4 | 0.93 |
| 05 | 9.55 | I5 | 0.98 |
| 平移刚度/(N·m-1) | 阻尼/(N·s·m-1) | ||
|---|---|---|---|
| 参数 | 数值 | 参数 | 数值 |
| K1 | 30903.33 | C1 | 0.1 |
| K2 | 1624.02 | C2 | 98444.62 |
| K3 | 1.02 | C3 | 0.1 |
| K4 | 1.27 | C4 | 374.43 |
| Kh1 | 100.1 | Ch1 | 364.04 |
| Kh2 | 1497.91 | Ch2 | 98814.93 |
| Kh3 | 25795.06 | Ch3 | 0.26 |
| Kh4 | 998122.25 | Ch4 | 98801.35 |
| Kh5 | 62958.9 | Ch5 | 17774.7 |
| Kv1 | 435340.24 | Cv1 | 0.16 |
| Kv2 | 153227.58 | Cv2 | 44.16 |
| Kv3 | 19346.75 | Cv3 | 0.1 |
| Kv4 | 87628.14 | Cv4 | 0.1 |
| Kv5 | 113133.88 | Cv5 | 1319.8 |
Table 4 Translational stiffness and damping properties of a supine human body model[19-20]
| 平移刚度/(N·m-1) | 阻尼/(N·s·m-1) | ||
|---|---|---|---|
| 参数 | 数值 | 参数 | 数值 |
| K1 | 30903.33 | C1 | 0.1 |
| K2 | 1624.02 | C2 | 98444.62 |
| K3 | 1.02 | C3 | 0.1 |
| K4 | 1.27 | C4 | 374.43 |
| Kh1 | 100.1 | Ch1 | 364.04 |
| Kh2 | 1497.91 | Ch2 | 98814.93 |
| Kh3 | 25795.06 | Ch3 | 0.26 |
| Kh4 | 998122.25 | Ch4 | 98801.35 |
| Kh5 | 62958.9 | Ch5 | 17774.7 |
| Kv1 | 435340.24 | Cv1 | 0.16 |
| Kv2 | 153227.58 | Cv2 | 44.16 |
| Kv3 | 19346.75 | Cv3 | 0.1 |
| Kv4 | 87628.14 | Cv4 | 0.1 |
| Kv5 | 113133.88 | Cv5 | 1319.8 |
| 转动刚度/(N·m·rad-1) | 转动阻尼/(N·m·srad-1) | ||
|---|---|---|---|
| 参数 | 数值 | 参数 | 数值 |
| Kr1 | 101.90 | Cr1 | 431.85 |
| Kr2 | 107.49 | Cr2 | 305.53 |
| Kr3 | 378.46 | Cr3 | 675.38 |
| Kr4 | 130.76 | Cr4 | 369.71 |
Table 5 Rotational stiffness and damping parameters of a supine human body model[19-20]
| 转动刚度/(N·m·rad-1) | 转动阻尼/(N·m·srad-1) | ||
|---|---|---|---|
| 参数 | 数值 | 参数 | 数值 |
| Kr1 | 101.90 | Cr1 | 431.85 |
| Kr2 | 107.49 | Cr2 | 305.53 |
| Kr3 | 378.46 | Cr3 | 675.38 |
| Kr4 | 130.76 | Cr4 | 369.71 |
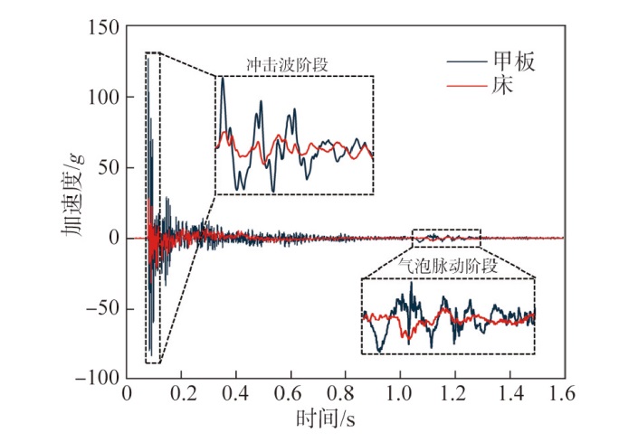
| 阶段 | 甲板 | 床 | 头部 | 胸腔 | 盆骨 | 膝盖 | 脚踝 |
|---|---|---|---|---|---|---|---|
| 冲击波阶段 | 127.52 | 28.50 | 2.4 | 3.09 | 3.69 | 5.46 | 6.85 |
| 气泡脉动阶段 | 3.29 | 1.93 | 0.39 | 0.28 | 0.33 | 1.09 | 0.34 |
Table 6 Peak shock acceleration responses of the structure and various organs in a supine human body model g
| 阶段 | 甲板 | 床 | 头部 | 胸腔 | 盆骨 | 膝盖 | 脚踝 |
|---|---|---|---|---|---|---|---|
| 冲击波阶段 | 127.52 | 28.50 | 2.4 | 3.09 | 3.69 | 5.46 | 6.85 |
| 气泡脉动阶段 | 3.29 | 1.93 | 0.39 | 0.28 | 0.33 | 1.09 | 0.34 |
| 头部VS 胸腔 | 胸腔VS 盆骨 | 盆骨VS 膝盖 | 膝盖VS 脚踝 |
|---|---|---|---|
| 0.41 | 0.27 | 0.55 | 0.63 |
Table 7 Peak shock relative velocities of the structure andorgans in a supine human body model m/s
| 头部VS 胸腔 | 胸腔VS 盆骨 | 盆骨VS 膝盖 | 膝盖VS 脚踝 |
|---|---|---|---|
| 0.41 | 0.27 | 0.55 | 0.63 |
| 人体姿势 | 头部HIC | 脊柱力峰值/kN | 盆骨力峰值/kN |
|---|---|---|---|
| 坐姿 | 0.1 | 0.73 | 29.7 |
| 站姿 | 4×10-3 | 0.32 | 2.19 |
| 卧姿 | 1 980 | 8.40 | 19 |
Table 8 Comparison of the peak loads acting on the typical organs of humans in different postures under the same impact
| 人体姿势 | 头部HIC | 脊柱力峰值/kN | 盆骨力峰值/kN |
|---|---|---|---|
| 坐姿 | 0.1 | 0.73 | 29.7 |
| 站姿 | 4×10-3 | 0.32 | 2.19 |
| 卧姿 | 1 980 | 8.40 | 19 |
| 冲击 因子 | 头部 HIC | 脊柱 /kN | 内脏 /kN | 盆骨 /kN | 大腿 /kN | 小腿 /kN | 足部 /kN |
|---|---|---|---|---|---|---|---|
| 0.30 | 2×104 | 0.03 | 0.43 | 1.2 | 2.8 | 2.8 | 62 |
| 0.45 | 0.001 | 0.13 | 0.50 | 1.8 | 9.1 | 15.0 | 122 |
| 0.60 | 0.004 | 0.32 | 0.52 | 2.2 | 19.7 | 52.6 | 204 |
Table 9 Comparison of loads on typical organs of standing human body under different impacts
| 冲击 因子 | 头部 HIC | 脊柱 /kN | 内脏 /kN | 盆骨 /kN | 大腿 /kN | 小腿 /kN | 足部 /kN |
|---|---|---|---|---|---|---|---|
| 0.30 | 2×104 | 0.03 | 0.43 | 1.2 | 2.8 | 2.8 | 62 |
| 0.45 | 0.001 | 0.13 | 0.50 | 1.8 | 9.1 | 15.0 | 122 |
| 0.60 | 0.004 | 0.32 | 0.52 | 2.2 | 19.7 | 52.6 | 204 |
| 冲击因子 | 头部HIC | 脊柱/kN | 内脏/kN | 盆骨/kN |
|---|---|---|---|---|
| 0.30 | 0.03 | 0.47 | 0.15 | 15.0 |
| 0.45 | 0.08 | 0.61 | 0.21 | 23.8 |
| 0.60 | 0.10 | 0.73 | 0.23 | 29.5 |
Table 10 Comparison of loads on typical organs of sitting human body under different impacts
| 冲击因子 | 头部HIC | 脊柱/kN | 内脏/kN | 盆骨/kN |
|---|---|---|---|---|
| 0.30 | 0.03 | 0.47 | 0.15 | 15.0 |
| 0.45 | 0.08 | 0.61 | 0.21 | 23.8 |
| 0.60 | 0.10 | 0.73 | 0.23 | 29.5 |
| 冲击 因子 | 头部 HIC | 躯干 /kN | 盆骨 /kN | 大腿 /kN | 小腿 /kN |
|---|---|---|---|---|---|
| 0.30 | 266 | 4.2 | 9.1 | 13.7 | 22.3 |
| 0.45 | 758 | 6.6 | 14.6 | 21.7 | 35.4 |
| 0.60 | 1980 | 8.7 | 19.2 | 21.9 | 44.3 |
Table 11 Comparison of loads on typical organs of supine human body under different impacts
| 冲击 因子 | 头部 HIC | 躯干 /kN | 盆骨 /kN | 大腿 /kN | 小腿 /kN |
|---|---|---|---|---|---|
| 0.30 | 266 | 4.2 | 9.1 | 13.7 | 22.3 |
| 0.45 | 758 | 6.6 | 14.6 | 21.7 | 35.4 |
| 0.60 | 1980 | 8.7 | 19.2 | 21.9 | 44.3 |
| [1] |
孙赫, 闫明, 杜志鹏, 等. 舰艇水下爆炸破损分布特性[J]. 爆炸与冲击, 2024, 44(6):065102.
|
|
|
|
| [2] |
李营, 杜志鹏, 陈赶超, 等. 舰艇爆炸毁伤与防护若干关键问题研究进展[J]. 中国舰船研究, 2024, 19(3):3-60.
|
|
|
|
| [3] |
|
| [4] |
胡文虎. 基于有限元法的钝力性肝、脾损伤及肋骨骨折生物力学机制研究[D]. 广州: 南方医科大学, 2021.
|
|
|
|
| [5] |
|
| [6] |
|
| [7] |
|
| [8] |
|
| [9] |
|
| [10] |
doi: 10.1016/j.ergon.2006.06.008 URL |
| [11] |
doi: 10.1016/j.ymssp.2023.110758 URL |
| [12] |
doi: 10.1016/j.jsv.2021.116299 URL |
| [13] |
张玮, 史少华. 水面舰艇舰员对水下爆炸冲击响应[J]. 爆炸与冲击, 2011, 31(5):521-527.
|
|
|
|
| [14] |
doi: 10.1016/j.jbiomech.2021.110666 URL |
| [15] |
doi: 10.2486/indhealth.46.125 URL |
| [16] |
doi: 10.4236/eng.2010.29092 URL |
| [17] |
|
| [18] |
doi: 10.1177/1077546312449642 URL |
| [19] |
doi: 10.1016/j.euromechsol.2019.103906 URL |
| [20] |
doi: 10.1080/13588265.2021.1926844 URL |
| [21] |
doi: 10.1063/1.3066152 URL |
| [22] |
|
| [23] |
|
| [24] |
|
| [25] |
doi: 10.1016/j.oceaneng.2023.114752 URL |
| [26] |
|
| [27] |
SAEED, SALEHI, CHINEDUM, et al. Performance verification of elastomer materials in corrosive gas and liquid conditions[J]. Polymer Testing, 2019, 75:48-63.
doi: 10.1016/j.polymertesting.2019.01.015 URL |
| [28] |
doi: 10.1007/s10439-016-1598-2 pmid: 27052746 |
| [29] |
|
| [30] |
|
| [31] |
doi: 10.1016/j.jmbbm.2020.103780 URL |
| [32] |
doi: 10.1016/j.jmbbm.2020.103690 URL |
| [33] |
|
| [34] |
|
| [35] |
|
| [36] |
|
| [37] |
|
| [1] | YU Wanli, YANG Ao, TANG Zhaolie, CHENG Han, ZHANG Zhiyang, LIU Weixing. Numerical Simulation of Underwater Explosions Near a Naval Vessel Based on a Compressible Multi-fluid Model [J]. Acta Armamentarii, 2025, 46(9): 240956-. |
| [2] | CHEN Bin, WANG Song, LIU Xingyu, ZHANG Zhaohui, LI Wuyang. A Human Head Finite Element Model for Blunt Ballistic Impact Injury Assessment [J]. Acta Armamentarii, 2025, 46(8): 241022-. |
| [3] | LIU Gangwei, ZHANG Jingyuan, SHI Zhangsong, TAN Bo, SONG Pu, HU Hongwei, LU Yongjin. Effect of Shock Wave Load in Underwater Explosion of Cased Charge near Seabed [J]. Acta Armamentarii, 2025, 46(8): 240643-. |
| [4] | WEI Zhenqian, RONG Jili, WEI Huiyang, LI Furong, CHEN Zichao. Dynamic Response and Energy Dissipation of Foam Aluminum Sandwich Panel Subjected to Underwater Impulsive Loading [J]. Acta Armamentarii, 2025, 46(6): 240539-. |
| [5] | LIU Zheng, NIE Jianxin, KAN Runzhe, YANG Jinxiang, TAN Yanwei, GUO Xueyong, YAN Shi. Effect of Aluminum Powder Combustion on the Underwater Explosion Load Characteristics of CL-20-based Mixed Explosives [J]. Acta Armamentarii, 2025, 46(3): 240128-. |
| [6] | LI Hongwei, WANG Jiale, LIANG Hao, ZHOU En, SUN Yi, ZHANG Wanlong, GUO Ziru. Effect of Explosion Shock on the Energy Release Characteristics of Ignition Capacitance of Electronic Detonator [J]. Acta Armamentarii, 2025, 46(3): 240221-. |
| [7] | YANG Ke, ZHOU Zhangtao, MA Honghao, YAO Xiangyang, FU Liheng, XU Qingtao, SHEN Zhaowu. Study on Pressure Field Characteristics of Underwater Explosion of Neighbor Air Domain Charge Structure [J]. Acta Armamentarii, 2025, 46(1): 231099-. |
| [8] | WANG Tao, LIU Liangtao, WANG Jinxiang, ZHANG Yifan. The Damage Characteristics of Underwater Explosion of Explosives with Different Energy Structures on the Side Multi-cabin Structure [J]. Acta Armamentarii, 2025, 46(1): 231201-. |
| [9] | YAN Xiaojun, SUN Hao, MA Lin, ZHANG Xuhui, WU Xi, YONG Shunning. Damage Characteristics of Typical Ship Targets Subjected to Underwater Explosion [J]. Acta Armamentarii, 2024, 45(S2): 215-221. |
| [10] | ZHANG Kun, ZHAO Changxiao, HAN Biao, JI Chong, ZHANG Bo, ZHANG Kaikai, TANG Rong. Numerical Simulation and Experimental Study on the Response Characteristics of Cylindrical Shell Charge under Collaborative Impact of Multiple Projectiles [J]. Acta Armamentarii, 2024, 45(S1): 70-80. |
| [11] | ZHANG Yong, XIAO Zhengming, DUAN Hao, WU Xing, LU Min, WANG Hao. Dynamic Response of Vehicle Surface under the Action of Underwater Middle and Far Field Explosion Shock Waves [J]. Acta Armamentarii, 2024, 45(7): 2341-2350. |
| [12] | LI Hongyun, SHEN Qiang, DENG Zilong. Analysis of Angular Motion and Swerving Response Characteristics of Dual-spinning Two-dimensional Correction Projectile with Canard Layout [J]. Acta Armamentarii, 2024, 45(6): 1866-1876. |
| [13] | YAN Zechen, YUE Songlin, QIU Yanyu, WANG Jianping, ZHAO Yuetang, SHI Jie, LI Xu. Improvement on the Calculation Method for Reflected Pressure of Shock Wave in Underwater Explosion [J]. Acta Armamentarii, 2024, 45(4): 1196-1207. |
| [14] | WANG Haiyang, LONG Renrong, ZHANG Qingming, LIU Bowen, LIAO Chen. Deformation Model of Ring-stiffened Conical-cylindrical Shell under Deep-underwater Explosion Based on Plastic String Method [J]. Acta Armamentarii, 2024, 45(3): 705-719. |
| [15] | LI Xu, YUE Songlin, QIU Yanyu, WANG Mingyang, DENG Shuxin, LIU Niannian. Experimental Study on Interaction between Bubble and Concrete Composite Slab in Near-field Underwater Explosion [J]. Acta Armamentarii, 2023, 44(S1): 79-89. |
| Viewed | ||||||
|
Full text |
|
|||||
|
Abstract |
|
|||||