欢迎访问《兵工学报》官方网站,今天是

兵工学报 ›› 2025, Vol. 46 ›› Issue (S1): 250401-.doi: 10.12382/bgxb.2025.0401

• • 上一篇    下一篇

考虑预设性能约束的飞行器自适应神经网络姿态控制器

王伟1, 刘佳琪1, 林时尧2,*(), 朱泽军1, 纪毅3   

  1. 1 北京理工大学 空天科学与技术学院, 北京 100081
    2 中国兵器科学研究院, 北京 100089
    3 北京信息科技大学 自动化学院, 北京 100192
  • 收稿日期:2025-05-23 上线日期:2025-11-06
  • 通讯作者:
  • 基金资助:
    国家自然科学基金项目(52272358); 国家自然科学基金项目(52402442); 中国科协青年人才托举项目(YESS20230098); 中国科协青年人才托举项目(2023QNRC001); 北京市青年人才托举项目(BYESS2023310)

Adaptive Neural Network-based Flight Vehicle Attitude Controller with Prescribed Performance Constraint

WANG Wei1, LIU Jiaqi1, LIN Shiyao2,*(), ZHU Zejun1, JI Yi3   

  1. 1 School of Aerospace EngineeringBeijing Institute of Technology, Beijing 100081, China
    2 China Research and Development Academy of Machinery Equipment, Beijing 100089, China
    3 School of AutomationBeijing Information Science and Technology University, Beijing 100192, China
  • Received:2025-05-23 Online:2025-11-06

摘要:

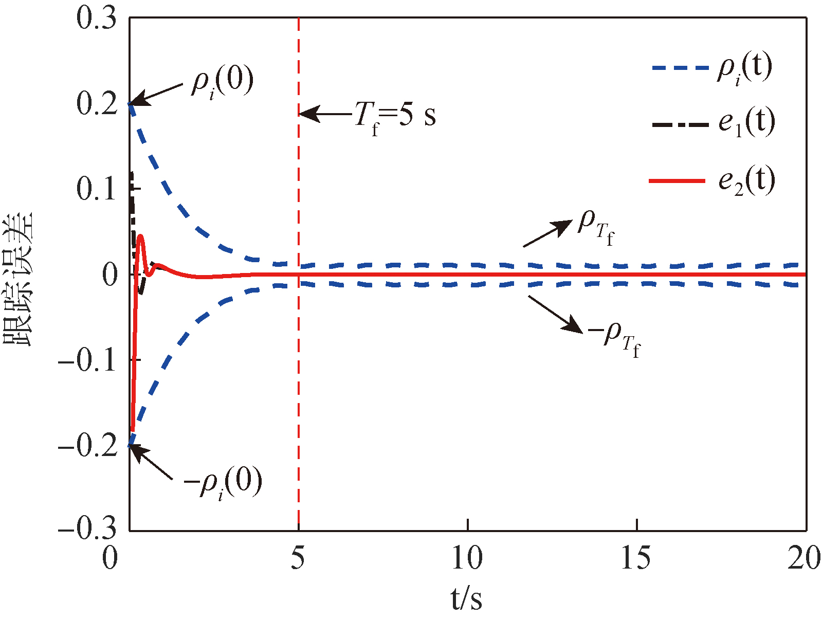
针对存在模型不确定性的高速飞行器刚体动力学,考虑执行机构故障情况下的姿态预设性能控制问题,提出了一种基于自适应故障失效估计策略和有限时间预设性能控制的姿态控制器。采用动态有限时间预设性能控制和时变障碍Lyapunov控制技术,保证了姿态跟踪误差的瞬态性能及稳态的有限时间收敛;同时,采用径向基函数自适应神经网络对模型不确定性进行估计。引入指令滤波器,避免了对复杂虚拟控制量的直接求导。通过设计自适应算法,对模型逼近误差、外部扰动以及滤波器估计误差的上界进行估计和补偿。针对执行机构的故障失效问题,设计了自适应复合容错控制策略,有效补偿了执行机构失效的影响。基于Lyapunov理论,验证了闭环系统的半全局一致有界性。通过数值仿真实验,验证了所设计姿态控制器的有效性。

关键词: 高速飞行器姿态控制, 预设性能, 时变障碍Lyapunov, 模型不确定性, 自适应神经网络, 容错控制

Abstract:

In the presence of model uncertainties for the rigid body dynamics of high-speed vehicle ,and considering actuator faults,an attitude control strategy based on an adaptive fault estimation approach and an attitude controller for finite-time prescribed performance control are proposed by considering the attitude preset performance control under the condition of actuator failure.By employing the dynamic finite-time prescribed performance control and time-varying barrier Lyapunov control techniques,both the transient attitude tracking error performance and the finite-time convergence of steady-state errors are ensured.Moreover,a radial basis function neural network is used to estimate the model uncertainties.In addition,a command filter is introduced to avoid the direct differentiation of complex virtual control quantities.An adaptive algorithm is also designed to estimate and compensate for the upper bounds of model approximation errors,external disturbances,and command filter estimation errors.To address actuator faults,an adaptive composite fault-tolerant control strategy is proposed to effectively compensate for the impact of actuator fault.The semi-global uniform boundedness of the closed-loop system is verified based on Lyapunov theory.Finally,the effectiveness of the proposed attitude controller is verified through numerical simulation.

Key words: high-speed vehicle attitude control, prescribed performance control, time-varying barrier Lyapunov function, model uncertainty, adaptive neural network, fault-tolerance control